電話:13570151199
傳真:020-39972520
郵箱:hanyan@hanyancarbon.com
地址:廣東省廣州市番禺區東環街番禺大道北555號天安總部中心30號樓6層
活性炭對砷化氫吸附改善作用
砷化氫(AsH3)的工業來源主要來源于磷、煤、有色金屬冶煉、石油加工和煉油等行業。是一種一種污染物,在羰基轉化和吸附劑合成過程中會引起吸附劑污染。傳統吸附劑在工業低溫操作條件下對砷化氫的去除效果低于預期。在這項研究中,使用銅用于改性活性炭并通過低溫焙燒生產新型吸附劑,來增強去除砷化氫的效果。
低溫焙燒銅改性活性炭
使用四種不同的銅前體Cu(NO3)2、CuCl2、Cu(C2H4O2)2和CuSO4用于活性炭的改性。所有吸附劑均采用低溫焙燒法制備。以Cu(NO3)2-改性活性炭為例,首先,將活性炭研磨,然后用去離子水洗滌并在80℃下干燥4小時。將顆粒過40-60目篩分后,用2.0mol/L的Cu(NO3)2浸漬2.0g活性炭10mL的溶液。接下來,將混合物在室溫下攪拌后靜置24小時,然后在烤箱中低溫烘烤5小時(80、120、150和180℃)。之后,將樣品冷卻至環境溫度并通過40-60目篩分。Cu含量從1到3mol/L不等,其中wt%表示質量百分比。冷卻后,得到CuO改性的活性炭吸附劑。由不同前體制備的樣品分別定義為Cu(NO3)2活性炭、Cu(C2H4O2)2活性炭、CuCl2活性炭和CuSO4活性炭。
砷化氫突破性動態測試
實驗裝置的方案在圖1提供。將氣流以200mL/分鐘的氣體流速引入混合器中。該氣體由稀釋在O2(0-1.2%)中的AsH3(200ppm)組成。然后預混合氣體進入填充有0.2g活性炭吸附柱的固定床。設置兩個采樣口:一個用于進口氣體,一個用于出口處理后的殘余尾氣。廢氣經酸性KMnO4處理。在這項研究中,AsH3去除效率和吸附容量用于評估活性炭的砷吸附能力。所有實驗重復3次,計算標準差和平均值。

圖1:實驗裝置示意圖。
反應條件對活性炭上AsH3吸附的影響
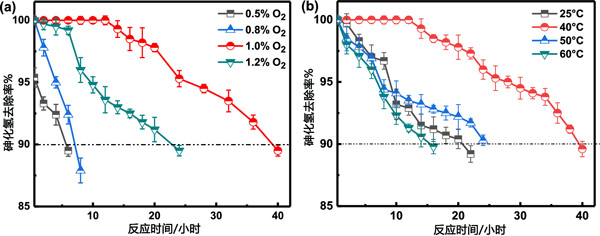
測試了微氧和低溫實際工業條件下活性炭的吸附性能。如圖2a所示,AsH3的去除效率隨著氧含量(0.5、0.8、1和1.2%)的增加而增加。氧含量為0.5和0.8%時記錄的去除效率低于8小時后記錄的90%。相比之下,1%的氧含量顯著增加。然而,氧含量進一步上升至1.2%會降低性能,因為過多的氧會與AsH3競爭吸附。因此,選擇1.0%的氧含量為最佳并用于進一步反應。銅改性活性炭的低溫吸附性能在25、40、50和60℃下進行了驗證,結果如圖2b所示。在25℃時,AsH3的初始去除效率低,但在40℃時有所改善。這可能是由于吸附劑的活化溫度。然而,溫度進一步升高至50和60℃會導致去除效率下降,從而產生與25℃下獲得的值大致相同的值。因此,選擇40℃作為最佳反應溫度以產生合適的吸附劑。在此條件下吸附容量是其他含銅吸附劑的10倍。上述結果證明銅改性活性炭在工業微氧和低溫條件下具有優異的除砷能力。

圖2:氧含量(a)和反應溫度(b)對AsH3去除效率的影響。
銅改性活性炭的再生
銅改性活性炭通過水洗和吹掃氣體法進行再生。為此,活性炭樣品首先在100℃的熱空氣中活化3小時。然后用去離子水浸泡清洗4-5次,放入電熱風烘箱中110-120℃烘干。之后,將樣品置于氮氣氣氛下的管式爐中,并使用程序升溫控制器升高溫度。考慮到通過在180℃下烘烤獲得的材料,溫度首先設定在20-180℃。之后,停止加熱,將樣品冷卻至室溫。取出樣品,停止氮氣流,對再生材料進行測試。如圖3a所示,R的再生效率(R為再生吸附劑與新鮮吸附劑的穿透時間之比)在一個再生循環后為65%。在第二次再生循環后,樣品恢復效率R達到60%,證實了活性炭吸附劑對去除AsH3具有合理的再生能力。為了確定活性炭吸附劑再生后表面相的變化,通過XRD分析活性炭吸附劑。如圖3b所示,再生后活性炭-R1中35.6°、38.8°和61.8°的CuO衍射峰強度明顯增加,但沒有Cu2(NO3)峰被找到。這表明在再生過程中回收的一些CuO物種可能被中間體Cu2(NO3)(OH)3轉化。此外,活性炭-R1樣品中As2O3在28.0°、32.2°、35.5°、42.6°、46.4°、55.0°和59.6°處的結晶峰明顯減弱。推測中間體Cu2(NO3)(OH)3向吸附活性中心CuO的轉變和結晶As2O3的分離可能是活性炭吸附劑再生性能好的原因。

圖3:(a)銅改性活性炭的再生性能,(b)四款銅改性活性炭的XRD圖譜。
AsH3吸附機制的鑒定
根據實驗結果和隨后的產物分析,確定了低溫下銅改性活性炭上AsH3化學吸附的機理。將Cu(NO3)2添加到活性炭中可以在180℃焙燒時形成CuO的高活性相。由于AsH3吸附在金屬組分上,As-H鍵減弱,在較低溫度下容易斷裂,活性炭吸附劑的Cu2+和Cu+轉化循環在此過程中發揮了重要作用。釋放的Oα將AsH3氧化為As3+,而Cu2+恢復為Cu+與空氣中的氧氣接觸后氧化成Cu2+。同時,在40℃的反應溫度下,L酸位點可以極大地改善活性炭吸附劑對O2的表面化學吸附,從而補充Oβ以促進Cu的循環。主要氧化砷產物以As2O3為主,少量As2O5。總體而言,活性炭吸附劑通過Cu物種循環和活化L酸位點的協同作用實現了對AsH3的高效捕獲和純化。
活性炭對砷化氫吸附改善作用,通過低溫焙燒法合成的銅改性吸附劑具有較高的砷化氫吸附效率。通過活性組分CuO中的Cu2+到Cu+的循環釋放的Oα在AsH3的氧化過程中發揮了重要作用。此外,銅改性活性炭吸附劑的L酸性位點可以快速改善O2的化學吸附,從而補充Oβ以協助Cu物種的循環。AsH3首先被氧化為As2O3,然后被氧化為As2O5,導致在吸附劑表面形成沉積物。對于幾代后的60%的再生效率,銅改性活性炭中的中間體Cu2(NO3)(OH)在再生過程中可以部分轉化為活性中心CuO。一次水洗和吹掃氣再生的結果表明,Cu2+還原了20%,而主要污染物As2O3減少了約7倍。與傳統的銅吸附劑相比,Cu(NO3)2-改性活性炭低溫焙燒使反應操作溫度降低了80℃。就工業實際條件和較低的操作溫度而言,低溫焙燒法合成的銅改性活性炭是一種很有前景的工業低溫AsH3脫除吸附劑。
文章標簽:椰殼活性炭,果殼活性炭,煤質活性炭,木質活性炭,蜂窩活性炭,凈水活性炭.推薦資訊
- 2025-11-27超細活性炭5000目粉末活性炭
- 2025-11-26活性炭在硫化橡膠襯套中的應用
- 2025-11-19活性炭吸附重晶石混合物中的銅和鋅
- 2025-11-10活性炭去除PFAS
- 2025-11-03防一氧化碳霍加拉特劑
- 2025-11-03防汞蒸汽專用炭防放射性碘專用炭
- 2025-11-03防酸專用炭與防氨專用炭
- 2025-11-03防護服專用炭及全防炭的介紹應用
- 2025-10-21活性炭從堿性甘氨酸溶液中吸附鉑
- 2025-10-10活性炭金屬改性對氫的吸附
- 2025-09-29活性炭吸附有機微污染物
- 2025-09-17活性炭去除對羥基苯甲醚
